Νίκος Λιλιμπάκης

Σελίδες

  • Αρχική σελίδα
  • Διάφορα Video
  • Τένις
  • Φωτογραφίες
  • Μαθηματικά με Geogebra
  • Διάφορα με Geogebra
  • Σεισμικότητα του Ελλαδικού χώρου
  • Αξιοθέατα απ' όλο τον κόσμο
  • Μουσική - Τραγούδια - Μπαλέτο
  • Λογοτεχνία
  • ΩΡΑ και ΘΕΡΜΟΚΡΑΣΙΑ
  • Ταξιδιωτικοί προορισμοί στην Ελλάδα
  • Σερραϊκό Μουσείο Κλασικής Μοτοσικλέτας
  • Τράπεζα Θεμάτων
  • Ψηφιακά Εκπαιδευτικά Βοηθήματα
  • Πανελλαδικές Εξετάσεις
  • Θέματα Καγκουρό
  • Γυμναστική

Αποτελέσματα αγώνων ποδοσφαίρου


powered by Agones.gr - pame stoixima

Τετάρτη 13 Απριλίου 2016

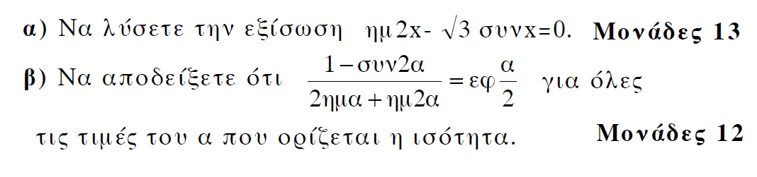
Τριγωνομετρία. Άσκηση 20

Θέμα γενικών εξετάσεων 2004 - Β΄ Τάξη.
Αναρτήθηκε από Nikos στις 8:22 μ.μ.
Αποστολή με μήνυμα ηλεκτρονικού ταχυδρομείου BlogThis!Κοινοποίηση στο XΜοιραστείτε το στο FacebookΚοινοποίηση στο Pinterest
Ετικέτες Άλγεβρα, Ασκήσεις, Β΄ Λυκείου, Μαθηματικά, Τριγωνομετρία

Δεν υπάρχουν σχόλια:

Δημοσίευση σχολίου

Νεότερη ανάρτηση Παλαιότερη Ανάρτηση Αρχική σελίδα
Προβολή έκδοσης κινητού
Εγγραφή σε: Σχόλια ανάρτησης (Atom)
Εορτολόγιο  

Σαν Σήμερα...

Για να τρέξεις τις εφαρμογές Geogebra πρέπει να εγκαταστήσεις το JAVA

Δημοφιλείς αναρτήσεις

  • Τριγωνομετρικοί αριθμοί γνωστών γωνιών
  • Διαγνωστικό τεστ Μαθηματικών Α΄ Λυκείου 2012
  • Σχολικό ημερολόγιο 2019 - 2020
  • Αναγωγή στο πρώτο τεταρτημόριο
  • Διαγώνισμα στις Πιθανότητες Α΄ Λυκείου - Νοέμβριος 2013
  • Δίωρο διαγώνισμα στους μιγαδικούς αριθμούς - Οκτώβριος 2012
  • Σχολικό ημερολόγιο 2015 - 2016
  • Απόλυτες τιμές - Ρίζες. Ερωτήσεις Σωστό ή Λάθος
  • Κινέζικη Πρωτοχρονιά - 13 Φεβρουαρίου 2010
    Το έτος της Yang Τίγρης του Σίδερου! Αναρτήθηκε από I-DIADROMI on Σάββατο, 13 Φεβρουαρίου 2010 农历新年。铁老虎杨年!  Η Κίνα γιορτάζει τον ε...
  • Σχολικό ημερολόγιο 2016-2017

Translate

Ο καιρός στη Νέα Πέραμο

Ο καιρός στις Σέρρες

Καιρός από το kairos123.gr

Αναζήτηση αυτού του ιστολογίου

Τα εξώφυλλα των πολιτικών - αθλητικών εφημερίδων

Πληροφορίες

Η φωτογραφία μου
Nikos
Προβολή πλήρους προφίλ
GreekBloggers.com

Αναγνώστες

Ο Καιρός

Weather by Freemeteo.com
Serres Blogs
Lasithi Blogs

ΠΡΟΓΡΑΜΜΑ TV

Ετικέτες

  • Α' Λυκείου (417)
  • Α΄ Γυμνασίου (16)
  • Αθλητικά (552)
  • Άθροισμα γωνιών τριγώνου (4)
  • Ακολουθίες (35)
  • Ακρότατα (6)
  • Άλγεβρα (1234)
  • Ανακεφαλαίωση (3)
  • Αναλογίες (22)
  • Ανέκδοτα (4)
  • Ανισότητες (26)
  • Ανισώσεις (33)
  • Αντιστοίχιση (12)
  • Αντίστροφες συναρτήσεις (4)
  • Αξιοθέατα (3)
  • Απαγωγή σε άτοπο (2)
  • Απλοποίηση (9)
  • Απόλυτες τιμές (32)
  • Αποσπάσματα (7)
  • Απρίλιος (2)
  • Αρίθμηση (2)
  • Αριθμητική παράσταση (10)
  • Αριθμοί (14)
  • Ασκήσεις (1078)
  • Αστεία (3)
  • Αστρονομία (1)
  • Ασυμμετρία (1)
  • Αύγουστος (2)
  • Β΄ Γυμνασίου (11)
  • Β΄ Λυκείου (295)
  • Βασικά Σχήματα (1)
  • Βίντεο (17)
  • Βιολογία (5)
  • Γ΄ Γυμνασίου (10)
  • Γ΄ Εσπερινού Λυκείου (5)
  • Γενική παιδεία Γ΄ Λυκείου (241)
  • Γενική παιδεία ΕΠΑΛ (17)
  • Γεωλογία (3)
  • Γεωμετρία (282)
  • Γιορτές (18)
  • Γιουρόπα Λιγκ (119)
  • Γρίφοι (143)
  • Γυμνάσιο (3)
  • Γυμναστική (11)
  • Γωνίες (3)
  • Δεκέμβριος (3)
  • Δηγήματα (1)
  • Δημοτικό (6)
  • Διαγνωστικό Τεστ (10)
  • Διαγράμματα (8)
  • Διαγωνίσματα (517)
  • Διαγωνισμοί (50)
  • Διαίρεση (9)
  • Διάμεσος (5)
  • Διανύσματα (67)
  • Διανυσματικοί χώροι (4)
  • Διάταξη (12)
  • Διατροφή και Υγεία (2)
  • Διάφορα (29)
  • Διχοτόμοι (1)
  • Δραστηριότητες μαθητών (1)
  • Δραστηριότητες-Εργασίες (1)
  • Δύναμη σημείου ως προς κύκλο (2)
  • Εγγεγραμμένα σχήματα (5)
  • Εγγράψιμα (1)
  • Έκθεση (82)
  • Εκθετικές (3)
  • Εκπαίδευση (39)
  • Ελλάδα (4)
  • Εμβαδά (29)
  • ΕΜΕ (1)
  • Εξετάσεις (193)
  • Εξισώσεις (33)
  • Εξισώσεις δευτέρου βαθμού (30)
  • ΕΠΑΛ (60)
  • Εσπερινό Λύκειο (78)
  • Ευθεία (52)
  • Ευχές (2)
  • Εφαπτομένη (7)
  • Εφαρμογές (1)
  • Θεώρημα Διαμέσων (10)
  • Θεώρημα Διχοτόμων (2)
  • Θεωρία (98)
  • Ιανουάριος (2)
  • Ιούλιος (2)
  • Ιούνιος (2)
  • Ιστορία (11)
  • Ιστορικό σημείωμα (4)
  • Καγκουρό (81)
  • Καιρός (1)
  • Κατεύθυνση Β΄ Λυκείου (134)
  • Κατεύθυνση Γ΄ Λυκείου (447)
  • Κλασική μουσική (6)
  • Κλασικοί συγγραφείς - Φιλόσοφοι (18)
  • Κύκλος (18)
  • Κύπελλο Ελλάδος (3)
  • Κωνικές τομές (25)
  • Λογάριθμος (8)
  • Μαθηματικά (1620)
  • Μαθηματική Εταιρεία (20)
  • Μάιος (2)
  • Μαντινάδες (5)
  • Μάρτιος (2)
  • Μετρικές σχέσεις (9)
  • Μιγαδικοί αριθμοί (65)
  • Μονοτονία (1)
  • Μουσική (1)
  • Μπαλέτο (6)
  • Μπάσκετ (63)
  • Νέα Ελληνικά (5)
  • Νεοελληνική Γλώσσα (81)
  • Νοέμβριος (2)
  • Οκτώβριος (2)
  • Ολοκλήρωμα (45)
  • Ολυμπιακοί αγώνες (3)
  • Ομάδες (2)
  • Όμοια σχήματα (19)
  • Ορθογώνιο (3)
  • Ορίζουσες (6)
  • Όριο-Συνέχεια (71)
  • Παιχνίδια (20)
  • Πανελλαδικές (227)
  • Παραγοντοποίηση (4)
  • Παράγωγος (118)
  • Παράλληλες Ευθείες (5)
  • Παραλληλόγραμμο (17)
  • Παραμύθι (2)
  • Παροιμίες για τους μήνες (12)
  • Παροιμίες-Γνωμικά (79)
  • Περιβάλλον (11)
  • Πιθανότητες (62)
  • Πίνακες (22)
  • Ποδόσφαιρο (389)
  • Ποιήματα (3)
  • Πολιτισμός - Παράδοση (21)
  • Πολλαπλάσια (4)
  • Πολλαπλή επιλογή (10)
  • Πολυώνυμα (17)
  • Ποσοστά (4)
  • Πρακτική αριθμητική (7)
  • Πυθαγόρειο θεώρημα (28)
  • Ρίζες (25)
  • Ρυθμός Μεταβολής (4)
  • Σεπτέμβριος (2)
  • Σέρρες (12)
  • Σήματα (1)
  • Σητεία (4)
  • Σούπερ λιγκ (112)
  • Σπουδαίοι άνθρωποι (1)
  • Στατιστική (23)
  • Στερεομετρία (1)
  • Στραβά κι ανάποδα (3)
  • Σύγκριση αριθμών (1)
  • Συμπλήρωση (8)
  • Συναρτήσεις (160)
  • Συνδυασμοί (1)
  • Συνημίτονο (1)
  • Σύνθετα Θέματα (26)
  • Σύνολα (5)
  • Συστήματα (81)
  • Σχολείο (18)
  • Σωστό ή Λάθος (18)
  • Ταυτότητες (10)
  • ΤΕΕ (1)
  • Τένις (78)
  • Τεστ (8)
  • Τετράγωνο (4)
  • Τετράπλευρο (1)
  • Τεχνολογία (14)
  • Τραγούδια (85)
  • Τραγούδια για τους μήνες (12)
  • Τράπεζα Θεμάτων (363)
  • Τραπέζιο (14)
  • Τρίγωνο (68)
  • Τριγωνομετρία (58)
  • Τσάμπιον Λιγκ (96)
  • Τύπος (1)
  • Ύλη μαθημάτων (5)
  • Ύμνοι (3)
  • Φεβρουάριος (2)
  • Φυσική (15)
  • Φωτογραφίες (15)
  • Χημεία (10)
  • Ψηφιακά Εκπαιδευτικά Βοηθήματα (123)
  • Geogebra (29)
  • Project (1)

Η λίστα ιστολογίων μου

  • Η ΔΙΑΔΡΟΜΗ ®
    Λευκαδίτικα λαδοκούλουρα - [image: Λευκαδίτικα λαδοκούλουρα] Λευκαδίτικα λαδοκούλουρα *Τι θα χρειαστείς:* 1 φακελάκι ξερή μαγιά Ένα κιλό αλεύρι για όλες τις χρήσεις Μισή κούπα ζάχαρη κ...
    Πριν από 6 δευτερόλεπτα
  • iefimerida.gr
    Γιορτινό στιλ αλλιώς: Τα Mango προτείνουν τρία κομμάτια πέρα από παγιέτες και βελούδο - [image: Γυναίκα που φοράει γιορτινό φόρεμα] Αν ψάχνετε μια πιο φρέσκια προσέγγιση στα γιορτινά outfits και θέλετε να αποφύγετε τα συνηθισμένα σύνολα με παγ...
    Πριν από 22 δευτερόλεπτα
  • Διασκεδαστικά Μαθηματικά
    How AI Transforms Mathematics Education in the 21st Century - [image: Illustration of AI improving modern math education.] 🇬🇷 Ελληνικά 🇬🇧 English Πώς η Τεχνητή Νοημοσύνη Μεταμορφώνει τη Μαθηματική Εκπαίδευση Η *...
    Πριν από 2 ώρες
  • News.gr
    Στο έλεος της κακοκαιρίας Byron η χώρα: Προβλήματα σε Ζάκυνθο, Λακωνία, Κρήτη – Μηνύματα 112, έκλεισαν σχολεία - Δείτε βίντεο και φωτογραφίες
    Πριν από 2 ώρες
  • Διεύθυνση Δευτεροβάθμιας Εκπαίδευσης Χαλκιδικής - Διεύθυνση Δευτεροβάθμιας Εκπαίδευσης Χαλκιδικής
    ΠΡΟΣΚΛΗΣΗ ΕΚΔΗΛΩΣΗΣ ΕΝΔΙΑΦΕΡΟΝΤΟΣ ΓΙΑ ΤΕΤΡΑΗΜΕΡΗ ΕΚΠΑΙΔΕΥΤΙΚΗ ΕΚΔΡΟΜΗ_ΓΕΛ Ν ΚΑΛΛΙΚΡΑΤΕΙΑΣ_ΚΕΡΚΥΡΑ_18 με 21 ΜΑΡΤΙΟΥ 2026 -
    Πριν από 3 ώρες
  • Ερανιστής
    Κακοποίηση ζώων: Ο Μεσαίωνας συνεχίζεται… - Κακοποίηση ζώων: Ο Μεσαίωνας συνεχίζεται… The post Κακοποίηση ζώων: Ο Μεσαίωνας συνεχίζεται… appeared first on Ερανιστής.
    Πριν από 23 ώρες
  • Μαθη...μαγικα
    Τετράδες -
    Πριν από 2 ημέρες
  • Μα8ηματ1κέ5 Σημ3ιώ6ei5
    Το έχετε προσέξει; - Όλοι διδάσκουμε την πρόταση σωστά; Και κάνουμε τις αντίστοιχες ασκήσεις του σχολικού βιβλίου (ασκ. Β9 σελ. 122) Σωστά; Τι δεν έχουμε προσέξει (αν...
    Πριν από 4 ημέρες
  • Μαθηματικός Περιηγητής- Καθημερινή Μαθηματική Ενημέρωση
    Επιμόρφωση με θέμα: «Η χρήση της μεθοδολογίας συγκεκριμένων διδακτικών καταστάσεων (MathTASK) ως μέσο στήριξης του μαθηματικού και παιδαγωγικού έργου των εκπαιδευτικών» - ΕΔΩ ο σύνδεσμος: https://minedu-secondary.webex.com/meet/mkokkal Επιμόρφωση με θέμα: «Η χρήση της …
    Πριν από 6 ημέρες
  • Δήμος Σητείας | Τελευταία Νέα
    ΤΑΚΤΙΚΗ ΣΥΝΕΔΡΙΑΣΗ Δ.Σ ΣΤΙΣ 04/12/2025 -
    Πριν από 6 ημέρες
  • Ελληνική Μαθηματική Εταιρία – Παράρτημα Σερρών
    Ο Τεύκρος Μιχαηλίδης συναντά το κοινό των Σερρών: Ένα ταξίδι από τα αρχαία μηχανήματα έως τα θεμέλια των Μαθηματικών - Το Παράρτημα Σερρών της Ελληνικής Μαθηματικής Εταιρείας, σε συνεργασία με τον Σύνδεσμο Φιλολόγων Σερρών, διοργανώνει μία διήμερη πνευματική γιορτή, φέρνοντ...
    Πριν από 1 εβδομάδα
  • kentr0
    Διαγωνισμός «Ο Θαλής» 7.11.2025 - Θέματα και ενδεικτικές λύσεις - Τα θέματα 7.11.2025 και οι ενδεικτικές λύσεις όλων των τάξεων από την Ε.Μ.Ε.
    Πριν από 3 εβδομάδες
  • Ο ΜΑΘΗΜΑΤΙΚΟΣ
    Πανεπιστήμιο Κρήτης: Διδακτικά σενάρια για όλες τις τάξεις - Αγαπητά μέλη της εκπαιδευτικής κοινότητας, Με ιδιαίτερη χαρά σας ενημερώνουμε ότι είναι πλέον ανοιχτά και προσβάσιμα τα διδακτικά σενάρια που δημιουργήθη...
    Πριν από 3 εβδομάδες
  • e-τάξη μου
    101 ΕΠΑΝΑΛΗΠΤΙΚΑ ΘΕΜΑΤΑ ΜΑΘΗΜΑΤΙΚΩΝ για τους Μαθητές της Γ΄ Λυκείου (6/2/2025) - Το καινούριο μας βιβλίο, περιέχει 101 Επαναληπτικά Θέματα Μαθηματικών για τους μαθητές της Γ΄ Λυκείου της Ομάδας Προσανατολισμού Θετικών Σπουδών Οικονομί...
    Πριν από 9 μήνες
  • sitohori-serron
    Με μεγάλη επιτυχία "ΤΟ 2ο ΓΕΥΜΑ ΑΓΑΠΗΣ" για την γιορτή του Αγίου Δημητρίου - Άκρως επιτυχημένο χαρακτηρίζεται το γεύμα αγάπης που διοργανώθηκε για άλλη μια χρονιά στο Δημοτικό Σχολείο με αφορμή την γιορτή του Αγίου Δημητρίου
    Πριν από 1 χρόνια
  • Επερχόμενες εκδηλώσεις των εκδόσεων Διόπτρα
    06/11/2024 20:00 | Ο Πάνος Δημάκης στη Θεσσαλονίκη - ΠΑΡΟΥΣΙΑΣΗ ΒΙΒΛΙΟΥ ΠΑΝΟΣ ΔΗΜΑΚΗΣ Παιδικός Ιανός, Γρ. Παλαμά 3, Θεσσαλονίκη ΤΕΤΑΡΤΗ 6 ΝΟΕΜΒΡΙΟΥ 19:00 Για το βιβλίο θα μιλήσουν οι: Χριστίνα Κανατάκη ...
    Πριν από 1 χρόνια
  • ΣΙΡΙΣ
    Βιβλιοπαρουσιάσεις 2024 - 1. *Αβρας Αυδή, Μονοπάτια.* Συλλογή διηγημάτων. Εκδ Γράφημα 11/3/2024. Παρουσίαση από τον Απόστολο Μπάτη, φιλόλογο και αντιπρόεδρο του ΣΦΝΣ, Δέσποινα Κα...
    Πριν από 1 χρόνια
  • ΡΟΗ ΕΙΔΗΣΕΩΝ enikos.gr
    Οι πολιτικές εφημερίδες 19/8/2021 - Διαβάστε τα πρωτοσέλιδα των πολιτικών εφημερίδων...
    Πριν από 4 χρόνια
  • LiFO: ΕΙΔΗΣΕΙΣ
    Αντζελίνα Τζολί: Εκατομμύρια παιδιά κινδυνεύουν- Δεν κάνουμε αρκετά για να τα προστατεύσουμε - «Τι θα κάνατε για να προστατεύσετε ένα παιδί;»
    Πριν από 4 χρόνια
  • Papaveri48
    . Οι Εξισώσεις - Ο κύριοςΑλγεβρίδης έγραψε στον πίνακα τις ανωτέρω εξισώσεις, και κάλεσε τον Τοτό στον πίνακα για να τις λύυσει. Το «σαΐνη» ο Τοτός τις έλυσε. Εσείς μπορε...
    Πριν από 5 χρόνια
  • Σύλλογος Περιπατητών Κοιλάδας Αγίων Αναργύρων Σερρών | "βάδην ιατρός πάντων"
    Τριήμερη εκδρομή – κρουαζιέρα (20-22/9/2019) Άρτα…Σύβοτα - Τριήμερη εκδρομή (20-22/9/2019) Άρτα-Ζάλογγο-Πρέβεζα-Λευκάδα-Ιθάκη-Κεφαλονιά-Αχέροντα-Νεκρομαντείο-Σύβοτα Ήταν μια πετυχημένη γεμάτη αναπαραστάσεις και εμπ...
    Πριν από 6 χρόνια
  • ΣΥΝΤΑΓΕΣ ΤΗΣ ΚΑΡΔΙΑΣ
    Η πατατοσαλάτα της Λίζας - *(ή πως να αξιοποιήσετε τα πασχαλινά αυγά που σας περίσσεψαν)* Χρόνια Πολλά φίλοι μας, Χριστός Ανέστη! Ελπίζουμε να περάσατε πολύ όμορφα τις ημέρες του Πάσ...
    Πριν από 6 χρόνια
  • Χαράλαμπος Κ. Φιλιππίδης Μαθηματικός
    Εικόνα δοκιμή - <a href="https://www.dropbox.com/sh/keptcjl08q3wsid/AABfOq8QCJY-fg2RgpwdsrGLa/Getting_Started_with_Dropbox_Paper.pdf?dl=0" class="dropbox-embed" dat...
    Πριν από 6 χρόνια
  • Super User - InfoSpoudes.gr - InfoSpoudes.gr
    Education Festival 2018 «Ανακάλυψέ το!» - Από το έμμεσο στο άμεσο και από το διάβασμα στην εμπειρική αναζήτηση, ανακαλύπτουμε την κοινωνική μας διάσταση και τους δεσμούς μας με τον προορισμό της α...
    Πριν από 7 χρόνια
  • σύλλογος αντισφαίρισης σερρών
    -
    Πριν από 7 χρόνια
  • math-trip
    ΘΕΜΑΤΑ ΜΑΘΗΜΑΤΙΚΩΝ ΚΑΤΕΥΘΥΝΣΗΣ 2016 - https://www.scribd.com/doc/313010319/Them-Mat-Op-c-Hmer-Ns-160518
    Πριν από 9 χρόνια
  • Δημόσια Κεντρική Βιβλιοθήκη Σερρών
    Καλοκαιρινές δράσεις του Συλλόγου Ελληνογαλλικής Φιλίας στη Δημόσια Βιβλιοθήκη - «Συνεργασία της Δημόσιας Κεντρικής Βιβλιοθήκης Σερρών με το Σύλλογο Ελληνογαλλικής Φιλίας » Ο Σύλλογος Ελληνογαλλικής Φιλίας, σε συνεργασία με την Δημόσ...
    Πριν από 12 χρόνια
  • colpomath
    - Η ιστοσελίδα colpomath δεν υποκαθιστά το σχολικό βιβλίο. Έρχεται να το συμπληρώσει. Είναι ένα ηλεκτρονικό βοήθημα στο καθημερινό μάθημα γύρω από ...
    Πριν από 14 χρόνια
  • Ραδιόφωνο - Radio Art, Art Radio, Greek internet radio, Greek web radio, Greek Jazz Radio, Anti Stress Radio
    -
  • Ομιλος Αντισφαίρισης Θεσσαλονικης
    -
  • http://anekdota.dyndns.org/Ελληνική Λίστα με Ανέκδοτα-Σπαζοκεφαλιές
    -
  • Ο καιρός - Meteo.gr
    -
  • www.mathematica.gr - Ιστότοπος Μαθηματικών
    -
  • TV Program - Νέα, Ομάδες, Πρόγραμμα, Αποτελέσματα, Βαθμολογίες, Στατιστικά - SPORT 24
    -
  • Τράπεζα Θεμάτων Διαβαθμισμένης Δυσκολίας
    -
  • Αεροφωτογραφίες
    -
  • SitiaPress.gr - Αρχική :: Σητεία, Sitia, Λασίθι, Νέα, Κρήτη
    -
  • Όπερ Έδει Δείξαι - Περιοδικό για τα Μαθηματικά Λυκείου. Ασκήσεις
    -
  • Κυπριακή Μαθηματική Εταιρεία
    -
  • Γιάννης Μοσχονάς
    -
  • LIFOLAND | Σταυρόλεξο | LiFO
    -
  • Τα άρθρα του Νίκου Χατζηνικολάου | Το blog μου - enikos.gr
    -
  • Ελεύθερη Ζώνη
    -
  • ZakrosRadio - 91.5 FM Zakros - Listen Online
    -
  • Ερωτόκριτος
    -
  • Ακούστε live ∼ Μελωδία FM 99,2
    -
  • ΕΡΤ Ραδιόφωνο
    -
  • askisopolis.gr
    -
  • Ηλεκτρονικό Λεξικό
    -
  • Ψηφιακά Εκπαιδευτικά Βοηθήματα
    -
  • Maths Finder - Μηχανή αναζήτησης στα Μαθηματικά
    -
  • Εκπαιδευτικό Δίκτυο Ενημέρωσης - AlfaVita
    -
  • Ελληνική Μαθηματική Εταιρεία
    -

Συνολικές προβολές σελίδας

Αρχειοθήκη ιστολογίου

  • ►  2025 (27)
    • ►  Νοεμβρίου (1)
    • ►  Σεπτεμβρίου (9)
    • ►  Ιουλίου (1)
    • ►  Ιουνίου (2)
    • ►  Μαΐου (5)
    • ►  Μαρτίου (2)
    • ►  Φεβρουαρίου (3)
    • ►  Ιανουαρίου (4)
  • ►  2024 (36)
    • ►  Δεκεμβρίου (7)
    • ►  Νοεμβρίου (3)
    • ►  Οκτωβρίου (4)
    • ►  Σεπτεμβρίου (3)
    • ►  Ιουνίου (3)
    • ►  Μαΐου (2)
    • ►  Απριλίου (2)
    • ►  Μαρτίου (6)
    • ►  Φεβρουαρίου (5)
    • ►  Ιανουαρίου (1)
  • ►  2023 (48)
    • ►  Δεκεμβρίου (2)
    • ►  Νοεμβρίου (5)
    • ►  Οκτωβρίου (6)
    • ►  Σεπτεμβρίου (11)
    • ►  Αυγούστου (3)
    • ►  Ιουλίου (1)
    • ►  Ιουνίου (5)
    • ►  Μαΐου (1)
    • ►  Απριλίου (5)
    • ►  Μαρτίου (3)
    • ►  Φεβρουαρίου (4)
    • ►  Ιανουαρίου (2)
  • ►  2022 (50)
    • ►  Δεκεμβρίου (8)
    • ►  Νοεμβρίου (9)
    • ►  Οκτωβρίου (4)
    • ►  Σεπτεμβρίου (16)
    • ►  Ιουλίου (1)
    • ►  Ιουνίου (4)
    • ►  Μαΐου (2)
    • ►  Απριλίου (1)
    • ►  Μαρτίου (2)
    • ►  Φεβρουαρίου (3)
  • ►  2021 (103)
    • ►  Δεκεμβρίου (2)
    • ►  Νοεμβρίου (10)
    • ►  Οκτωβρίου (9)
    • ►  Σεπτεμβρίου (9)
    • ►  Ιουλίου (4)
    • ►  Ιουνίου (7)
    • ►  Μαΐου (10)
    • ►  Απριλίου (17)
    • ►  Μαρτίου (13)
    • ►  Φεβρουαρίου (11)
    • ►  Ιανουαρίου (11)
  • ►  2020 (200)
    • ►  Δεκεμβρίου (18)
    • ►  Νοεμβρίου (25)
    • ►  Οκτωβρίου (18)
    • ►  Σεπτεμβρίου (24)
    • ►  Αυγούστου (18)
    • ►  Ιουλίου (1)
    • ►  Ιουνίου (16)
    • ►  Μαΐου (5)
    • ►  Απριλίου (18)
    • ►  Μαρτίου (20)
    • ►  Φεβρουαρίου (27)
    • ►  Ιανουαρίου (10)
  • ►  2019 (207)
    • ►  Δεκεμβρίου (24)
    • ►  Νοεμβρίου (16)
    • ►  Οκτωβρίου (19)
    • ►  Σεπτεμβρίου (30)
    • ►  Ιουλίου (7)
    • ►  Ιουνίου (11)
    • ►  Μαΐου (14)
    • ►  Απριλίου (20)
    • ►  Μαρτίου (18)
    • ►  Φεβρουαρίου (25)
    • ►  Ιανουαρίου (23)
  • ►  2018 (304)
    • ►  Δεκεμβρίου (31)
    • ►  Νοεμβρίου (15)
    • ►  Οκτωβρίου (21)
    • ►  Σεπτεμβρίου (30)
    • ►  Αυγούστου (3)
    • ►  Ιουλίου (7)
    • ►  Ιουνίου (37)
    • ►  Μαΐου (31)
    • ►  Απριλίου (24)
    • ►  Μαρτίου (27)
    • ►  Φεβρουαρίου (33)
    • ►  Ιανουαρίου (45)
  • ►  2017 (303)
    • ►  Δεκεμβρίου (39)
    • ►  Νοεμβρίου (38)
    • ►  Οκτωβρίου (22)
    • ►  Σεπτεμβρίου (51)
    • ►  Αυγούστου (19)
    • ►  Ιουλίου (3)
    • ►  Ιουνίου (16)
    • ►  Μαΐου (24)
    • ►  Απριλίου (30)
    • ►  Μαρτίου (19)
    • ►  Φεβρουαρίου (22)
    • ►  Ιανουαρίου (20)
  • ▼  2016 (309)
    • ►  Δεκεμβρίου (27)
    • ►  Νοεμβρίου (34)
    • ►  Οκτωβρίου (31)
    • ►  Σεπτεμβρίου (19)
    • ►  Ιουλίου (14)
    • ►  Ιουνίου (31)
    • ►  Μαΐου (49)
    • ▼  Απριλίου (38)
      • Πιθανότητες. Άσκηση 29
      • Παράγωγος. Άσκηση 52
      • Πόσο λευκό χρώμα
      • Πόσοι είναι οι μαθητές
      • Συναρτήσεις. Σωστό ή Λάθος 4
      • Λογάριθμος άσκηση 1
      • Διαγώνισμα Γεωμετρίας Α΄ Λυκείου -σε όλη την ύλη-Α...
      • Ο κύριος Πυθαγόρας
      • Τραπέζιο. Άσκηση 4
      • Εξισώσεις δευτέρου βαθμού. Άσκηση 6
      • Παράγωγος. Άσκηση 51
      • Τραπέζιο. Άσκηση 3
      • Προαγωγικές εξετάσεις Γεωμετρία Β΄ Λυκείου 07-06-2003
      • Παράγωγος. Άσκηση 50
      • Διανύσματα. Άσκηση 20
      • Φράουλες
      • Να βρείτε το εμβαδόν
      • Διαγώνισμα θετικής και τεχνολογικής Γ΄ Λυκείου_Φρο...
      • Πιθανότητες. Άσκηση 28
      • Πιθανότητες. Άσκηση 27
      • Στατιστική. Άσκηση 8
      • Ευθεία. Άσκηση 16
      • Διαγώνισμα Α΄ Λυκείου Άλγεβρα_Φροντιστήρια Πουκαμι...
      • ΟΥΕΦΑ Γιουρόπα Λιγκ - Αποτελέσματα - Ημιτεκικοί
      • ΟΥΕΦΑ Τσάμπιονς Λιγκ- Αποτελέσματα - Ημιτελικοί
      • Τραπέζιο. Άσκηση 2
      • Ανισώσεις. Άσκηση 11
      • Παράγωγος. Άσκηση 49
      • Τριγωνομετρία. Άσκηση 20
      • Παράγωγος. Άσκηση 48
      • 6o Διαγώνισμα Θετικής και Τεχνολογικής σε όλη την ...
      • 6ο Διαγώνισμα Γενικής Παιδείας σε όλη την ύλη_Απρί...
      • Γνωμικό 68
      • Παράγωγος. Άσκηση 47
      • 5o Διαγώνισμα Θετικής και Τεχνολογικής σε όλη την ...
      • 5ο Διαγώνισμα Γενικής Παιδείας σε όλη την ύλη_Απρί...
      • Γ΄ Λυκείου Μαθηματικά γεν. παιδείας. ΟΕΦΕ 2003
      • Β΄ Λυκείου προσανατολισμού ΟΕΦΕ 2015
    • ►  Μαρτίου (30)
    • ►  Φεβρουαρίου (23)
    • ►  Ιανουαρίου (13)
  • ►  2015 (391)
    • ►  Δεκεμβρίου (37)
    • ►  Νοεμβρίου (49)
    • ►  Οκτωβρίου (33)
    • ►  Σεπτεμβρίου (32)
    • ►  Αυγούστου (5)
    • ►  Ιουλίου (8)
    • ►  Ιουνίου (17)
    • ►  Μαΐου (50)
    • ►  Απριλίου (44)
    • ►  Μαρτίου (45)
    • ►  Φεβρουαρίου (34)
    • ►  Ιανουαρίου (37)
  • ►  2014 (399)
    • ►  Δεκεμβρίου (59)
    • ►  Νοεμβρίου (60)
    • ►  Οκτωβρίου (56)
    • ►  Σεπτεμβρίου (47)
    • ►  Αυγούστου (13)
    • ►  Ιουλίου (2)
    • ►  Ιουνίου (8)
    • ►  Μαΐου (26)
    • ►  Απριλίου (39)
    • ►  Μαρτίου (23)
    • ►  Φεβρουαρίου (33)
    • ►  Ιανουαρίου (33)
  • ►  2013 (246)
    • ►  Δεκεμβρίου (46)
    • ►  Νοεμβρίου (83)
    • ►  Οκτωβρίου (39)
    • ►  Σεπτεμβρίου (6)
    • ►  Ιουνίου (12)
    • ►  Μαΐου (11)
    • ►  Απριλίου (8)
    • ►  Μαρτίου (13)
    • ►  Φεβρουαρίου (15)
    • ►  Ιανουαρίου (13)
  • ►  2012 (163)
    • ►  Δεκεμβρίου (28)
    • ►  Νοεμβρίου (8)
    • ►  Οκτωβρίου (7)
    • ►  Σεπτεμβρίου (6)
    • ►  Αυγούστου (4)
    • ►  Ιουλίου (1)
    • ►  Ιουνίου (11)
    • ►  Μαΐου (20)
    • ►  Απριλίου (27)
    • ►  Μαρτίου (14)
    • ►  Φεβρουαρίου (23)
    • ►  Ιανουαρίου (14)
  • ►  2011 (18)
    • ►  Δεκεμβρίου (1)
    • ►  Νοεμβρίου (1)
    • ►  Οκτωβρίου (2)
    • ►  Σεπτεμβρίου (1)
    • ►  Αυγούστου (1)
    • ►  Ιουλίου (1)
    • ►  Ιουνίου (1)
    • ►  Μαΐου (1)
    • ►  Απριλίου (2)
    • ►  Φεβρουαρίου (3)
    • ►  Ιανουαρίου (4)
  • ►  2010 (58)
    • ►  Δεκεμβρίου (7)
    • ►  Νοεμβρίου (2)
    • ►  Οκτωβρίου (2)
    • ►  Σεπτεμβρίου (1)
    • ►  Αυγούστου (5)
    • ►  Ιουλίου (4)
    • ►  Ιουνίου (5)
    • ►  Μαΐου (2)
    • ►  Απριλίου (5)
    • ►  Μαρτίου (11)
    • ►  Φεβρουαρίου (13)
    • ►  Ιανουαρίου (1)
  • ►  2009 (21)
    • ►  Δεκεμβρίου (3)
    • ►  Νοεμβρίου (3)
    • ►  Οκτωβρίου (1)
    • ►  Σεπτεμβρίου (1)
    • ►  Αυγούστου (1)
    • ►  Ιουλίου (4)
    • ►  Μαΐου (2)
    • ►  Απριλίου (3)
    • ►  Μαρτίου (3)

Σχολικό Ημερολόγιο

Του φεγγαριού

Επιστημονικό Κομπιουτεράκι


Web 2.0 scientific calculator
Θέμα Απλό. Από το Blogger.